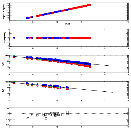
Left plots: red are targets, blue are telluric. Observed mags are calculated from median value of green chip. Zeropoint gives overall throughput: bigger number is more throughput.
First spatial plots: circles are objects, squares are tellurics, crosses are sky fibers. Colors give deviation of observed mag from expected 2MASS mag using the median zeropoint; red is brighter
Second spatial plots: circles are sky fibers. Colors give sky line brightness relative to plate median sky line brightness
FrameNreadsZeropointsMag plots Spatial mag deviation Spatial sky 16325A emission deviations (filled: sky, open: star) Spatial sky continuum emission Spatial sky telluric CO2 absorption deviations (filled: H < 10)
0 0
RedGreenBlue
z17.64
znorm Inf
sky -NaN -NaN -Inf
S/N 26.1 44.8 47.1
S/N(c) 0.0 0.0 0.0
SN(E/C) 0.93

IPAIRNAMESHIFTNEWSHIFTS/N NAMESHIFTNEWSHIFTS/N
0 11130039 0.484796 0.00000 19.0368 11130040 -0.00237908 0.487175 19.0790
1 11130035 0.484311 0.000484973 18.9793 11130036 -0.00229315 0.487089 18.9401
2 11130038 0.483445 0.00135100 18.8906 11130033 0.00000 0.484796 18.8821
3 11130034 0.484534 0.000261992 18.7850 11130037 -0.00209382 0.486890 18.8460