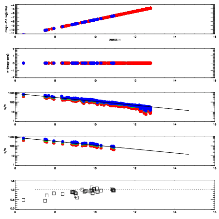
Left plots: red are targets, blue are telluric. Observed mags are calculated from median value of green chip. Zeropoint gives overall throughput: bigger number is more throughput.
First spatial plots: circles are objects, squares are tellurics, crosses are sky fibers. Colors give deviation of observed mag from expected 2MASS mag using the median zeropoint; red is brighter
Second spatial plots: circles are sky fibers. Colors give sky line brightness relative to plate median sky line brightness
FrameNreadsZeropointsMag plots Spatial mag deviation Spatial sky 16325A emission deviations (filled: sky, open: star) Spatial sky continuum emission Spatial sky telluric CO2 absorption deviations (filled: H < 10)
0 0
RedGreenBlue
z17.64
znorm Inf
sky -NaN -NaN -Inf
S/N 23.7 38.5 42.1
S/N(c) 0.0 0.0 0.0
SN(E/C) 0.91

IPAIRNAMESHIFTNEWSHIFTS/N NAMESHIFTNEWSHIFTS/N
0 11350027 0.480006 0.00000 18.8684 11350024 -0.00145131 0.481457 18.8924
1 11350023 0.477910 0.00209600 18.8718 11350028 -0.000358959 0.480365 18.9229
2 11350026 0.479228 0.000778019 18.8486 11350025 -0.00130817 0.481314 18.8347
3 11350022 0.477757 0.00224900 18.8256 11350021 0.00000 0.480006 18.7975