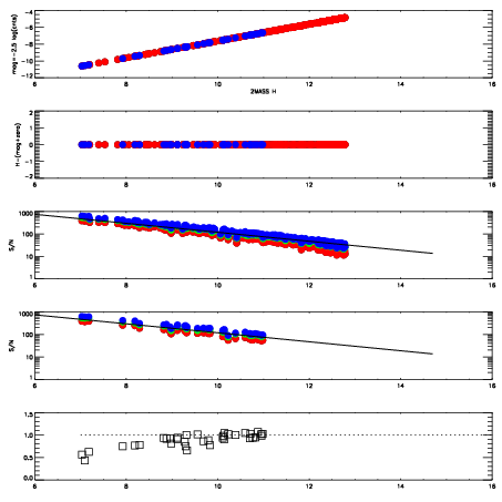
Left plots: red are targets, blue are telluric. Observed mags are calculated from median value of green chip. Zeropoint gives overall throughput: bigger number is more throughput.
First spatial plots: circles are objects, squares are tellurics, crosses are sky fibers. Colors give deviation of observed mag from expected 2MASS mag using the median zeropoint; red is brighter
Second spatial plots: circles are sky fibers. Colors give sky line brightness relative to plate median sky line brightness
FrameNreadsZeropointsMag plots Spatial mag deviation Spatial sky 16325A emission deviations (filled: sky, open: star) Spatial sky continuum emission Spatial sky telluric CO2 absorption deviations (filled: H < 10)
0 0
RedGreenBlue
z17.64
znorm Inf
sky -NaN -NaN -Inf
S/N 26.7 46.7 50.8
S/N(c) 0.0 0.0 0.0
SN(E/C) 0.93

IPAIRNAMESHIFTNEWSHIFTS/N NAMESHIFTNEWSHIFTS/N
0 11660036 0.492016 0.00000 19.0094 11660030 0.00000 0.492016 18.9136
1 11660032 0.491702 0.000313997 19.0718 11660033 -0.00607982 0.498096 19.0525
2 11660035 0.491132 0.000883996 19.0209 11660034 -0.00571611 0.497732 18.9971
3 11660031 0.491560 0.000455976 18.9887 11660037 -0.00523458 0.497251 18.9116