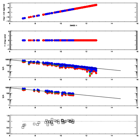
Left plots: red are targets, blue are telluric. Observed mags are calculated from median value of green chip. Zeropoint gives overall throughput: bigger number is more throughput.
First spatial plots: circles are objects, squares are tellurics, crosses are sky fibers. Colors give deviation of observed mag from expected 2MASS mag using the median zeropoint; red is brighter
Second spatial plots: circles are sky fibers. Colors give sky line brightness relative to plate median sky line brightness
FrameNreadsZeropointsMag plots Spatial mag deviation Spatial sky 16325A emission deviations (filled: sky, open: star) Spatial sky continuum emission Spatial sky telluric CO2 absorption deviations (filled: H < 10)
0 0
RedGreenBlue
z17.64
znorm Inf
sky -Inf -Inf -Inf
S/N 24.2 44.1 46.5
S/N(c) 0.0 0.0 0.0
SN(E/C) 0.97

IPAIRNAMESHIFTNEWSHIFTS/N NAMESHIFTNEWSHIFTS/N
0 11670027 0.498507 0.00000 18.5608 11670025 0.00000 0.498507 18.3974
1 11670031 0.496090 0.00241700 18.9106 11670032 -0.00173219 0.500239 18.9190
2 11670030 0.495293 0.00321400 18.8147 11670028 -0.00168231 0.500189 18.7705
3 11670026 0.498298 0.000209004 18.6648 11670029 -0.00137032 0.499877 18.7050