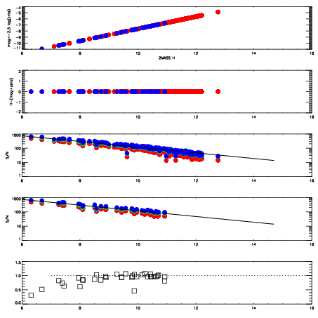
Left plots: red are targets, blue are telluric. Observed mags are calculated from median value of green chip. Zeropoint gives overall throughput: bigger number is more throughput.
First spatial plots: circles are objects, squares are tellurics, crosses are sky fibers. Colors give deviation of observed mag from expected 2MASS mag using the median zeropoint; red is brighter
Second spatial plots: circles are sky fibers. Colors give sky line brightness relative to plate median sky line brightness
FrameNreadsZeropointsMag plots Spatial mag deviation Spatial sky 16325A emission deviations (filled: sky, open: star) Spatial sky continuum emission Spatial sky telluric CO2 absorption deviations (filled: H < 10)
0 0
RedGreenBlue
z17.64
znorm Inf
sky -Inf -NaN -NaN
S/N 22.3 38.8 39.3
S/N(c) 0.0 0.0 0.0
SN(E/C) 0.96

IPAIRNAMESHIFTNEWSHIFTS/N NAMESHIFTNEWSHIFTS/N
0 11140030 0.484266 0.00000 18.8253 11140027 -0.00217482 0.486441 18.7487
1 11140029 0.484014 0.000252008 18.8429 11140024 0.00000 0.484266 18.7782
2 11140025 0.483038 0.00122800 18.7446 11140028 -0.00170633 0.485972 18.7113
3 11140026 0.483206 0.00106001 18.7165 11140031 -0.000789851 0.485056 18.7074