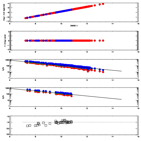
Left plots: red are targets, blue are telluric. Observed mags are calculated from median value of green chip. Zeropoint gives overall throughput: bigger number is more throughput.
First spatial plots: circles are objects, squares are tellurics, crosses are sky fibers. Colors give deviation of observed mag from expected 2MASS mag using the median zeropoint; red is brighter
Second spatial plots: circles are sky fibers. Colors give sky line brightness relative to plate median sky line brightness
FrameNreadsZeropointsMag plots Spatial mag deviation Spatial sky 16325A emission deviations (filled: sky, open: star) Spatial sky continuum emission Spatial sky telluric CO2 absorption deviations (filled: H < 10)
0 0
RedGreenBlue
z17.64
znorm Inf
sky -NaN -Inf -Inf
S/N 25.6 44.0 46.4
S/N(c) 0.0 0.0 0.0
SN(E/C) 0.97

IPAIRNAMESHIFTNEWSHIFTS/N NAMESHIFTNEWSHIFTS/N
0 11140041 0.487035 0.00000 18.9865 11140042 0.000364172 0.486671 19.0360
1 11140040 0.486150 0.000885010 19.0011 11140038 0.000256490 0.486779 19.0466
2 11140037 0.485799 0.00123599 18.8894 11140039 -9.83757e-05 0.487133 18.9814
3 11140036 0.485603 0.00143200 18.8543 11140035 0.00000 0.487035 18.8683