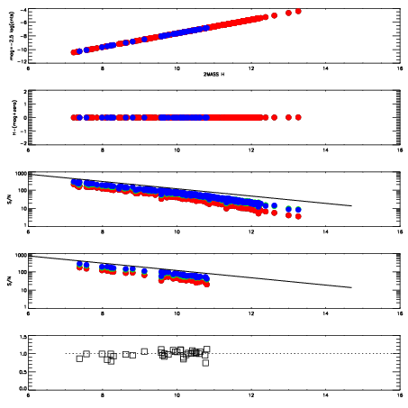
Left plots: red are targets, blue are telluric. Observed mags are calculated from median value of green chip. Zeropoint gives overall throughput: bigger number is more throughput.
First spatial plots: circles are objects, squares are tellurics, crosses are sky fibers. Colors give deviation of observed mag from expected 2MASS mag using the median zeropoint; red is brighter
Second spatial plots: circles are sky fibers. Colors give sky line brightness relative to plate median sky line brightness
FrameNreadsZeropointsMag plots Spatial mag deviation Spatial sky 16325A emission deviations (filled: sky, open: star) Spatial sky continuum emission Spatial sky telluric CO2 absorption deviations (filled: H < 10)
0 0
RedGreenBlue
z17.64
znorm Inf
sky -Inf -Inf -Inf
S/N 8.9 18.6 18.6
S/N(c) 0.0 0.0 0.0
SN(E/C) 1.00

IPAIRNAMESHIFTNEWSHIFTS/N NAMESHIFTNEWSHIFTS/N
0 11160013 0.487980 0.00000 17.5917 11160014 -0.00231210 0.490292 17.5174
1 11160017 0.484479 0.00350100 17.7502 11160015 -0.00222162 0.490202 17.6978
2 11160016 0.483796 0.00418401 17.7309 11160018 -0.00148379 0.489464 17.5760
3 11160012 0.487076 0.000903994 17.3087 11160011 0.00000 0.487980 17.1183