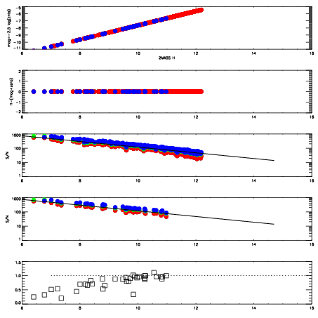
Left plots: red are targets, blue are telluric. Observed mags are calculated from median value of green chip. Zeropoint gives overall throughput: bigger number is more throughput.
First spatial plots: circles are objects, squares are tellurics, crosses are sky fibers. Colors give deviation of observed mag from expected 2MASS mag using the median zeropoint; red is brighter
Second spatial plots: circles are sky fibers. Colors give sky line brightness relative to plate median sky line brightness
FrameNreadsZeropointsMag plots Spatial mag deviation Spatial sky 16325A emission deviations (filled: sky, open: star) Spatial sky continuum emission Spatial sky telluric CO2 absorption deviations (filled: H < 10)
0 0
RedGreenBlue
z17.64
znorm Inf
sky -Inf -NaN -Inf
S/N 30.4 48.3 53.6
S/N(c) 0.0 0.0 0.0
SN(E/C) 0.87

IPAIRNAMESHIFTNEWSHIFTS/N NAMESHIFTNEWSHIFTS/N
0 11650013 0.495539 0.00000 19.1102 11650014 -0.00131617 0.496855 19.1327
1 11650017 0.493246 0.00229302 19.1942 11650018 -0.00216799 0.497707 19.2021
2 11650016 0.492144 0.00339502 19.1876 11650015 -0.00109228 0.496631 19.1652
3 11650012 0.495321 0.000218004 19.0784 11650011 0.00000 0.495539 19.0179