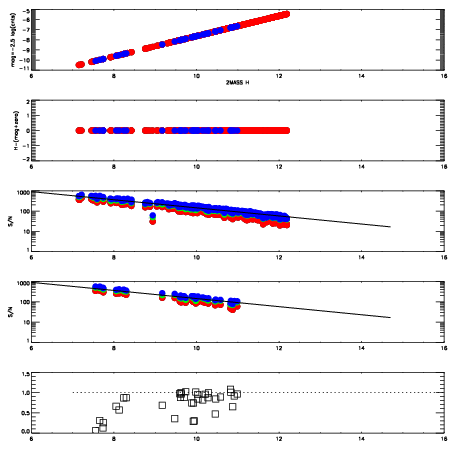
Left plots: red are targets, blue are telluric. Observed mags are calculated from median value of green chip. Zeropoint gives overall throughput: bigger number is more throughput.
First spatial plots: circles are objects, squares are tellurics, crosses are sky fibers. Colors give deviation of observed mag from expected 2MASS mag using the median zeropoint; red is brighter
Second spatial plots: circles are sky fibers. Colors give sky line brightness relative to plate median sky line brightness
FrameNreadsZeropointsMag plots Spatial mag deviation Spatial sky 16325A emission deviations (filled: sky, open: star) Spatial sky continuum emission Spatial sky telluric CO2 absorption deviations (filled: H < 10)
0 0
RedGreenBlue
z17.64
znorm Inf
sky -Inf -Inf -Inf
S/N 26.7 46.5 48.0
S/N(c) 0.0 0.0 0.0
SN(E/C) 0.87

IPAIRNAMESHIFTNEWSHIFTS/N NAMESHIFTNEWSHIFTS/N
0 11060032 0.480689 0.00000 18.7688 11060026 0.00000 0.480689 18.7802
1 11060027 0.478362 0.00232700 18.7959 11060037 -0.00429774 0.484987 18.8006
2 11060031 0.480655 3.39746e-05 18.6978 11060033 -0.00562006 0.486309 18.7699
3 11060028 0.479920 0.000768989 18.6975 11060030 -0.00100858 0.481698 18.7673
4 11060036 0.477942 0.00274700 18.6443 11060034 -0.00558417 0.486273 18.7482
5 11060035 0.478046 0.00264299 18.6336 11060029 -0.000771757 0.481461 18.6723