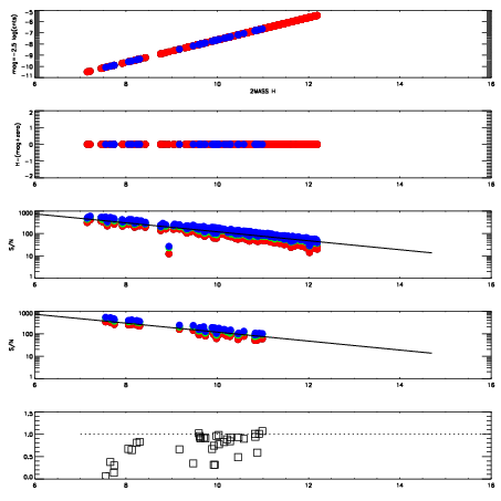
Left plots: red are targets, blue are telluric. Observed mags are calculated from median value of green chip. Zeropoint gives overall throughput: bigger number is more throughput.
First spatial plots: circles are objects, squares are tellurics, crosses are sky fibers. Colors give deviation of observed mag from expected 2MASS mag using the median zeropoint; red is brighter
Second spatial plots: circles are sky fibers. Colors give sky line brightness relative to plate median sky line brightness
FrameNreadsZeropointsMag plots Spatial mag deviation Spatial sky 16325A emission deviations (filled: sky, open: star) Spatial sky continuum emission Spatial sky telluric CO2 absorption deviations (filled: H < 10)
0 0
RedGreenBlue
z17.64
znorm Inf
sky -NaN -NaN -Inf
S/N 27.8 47.2 49.5
S/N(c) 0.0 0.0 0.0
SN(E/C) 0.83

IPAIRNAMESHIFTNEWSHIFTS/N NAMESHIFTNEWSHIFTS/N
0 11360017 0.482018 0.00000 19.1108 11360018 -0.000823030 0.482841 19.0918
1 11360016 0.481763 0.000254989 19.1081 11360015 -0.000782766 0.482801 19.0658
2 11360012 0.481126 0.000891984 19.0317 11360011 0.00000 0.482018 19.0489
3 11360013 0.480768 0.00125000 19.0315 11360014 -0.000484042 0.482502 19.0242