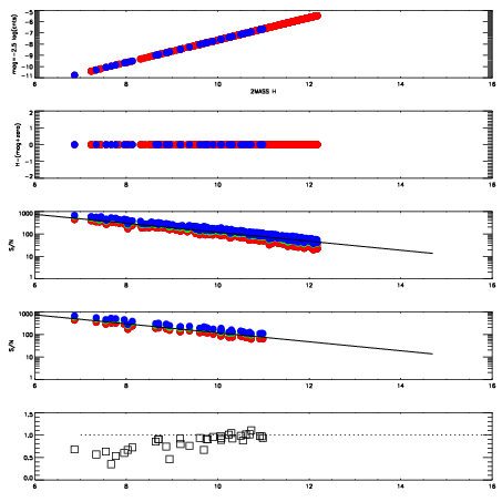
Left plots: red are targets, blue are telluric. Observed mags are calculated from median value of green chip. Zeropoint gives overall throughput: bigger number is more throughput.
First spatial plots: circles are objects, squares are tellurics, crosses are sky fibers. Colors give deviation of observed mag from expected 2MASS mag using the median zeropoint; red is brighter
Second spatial plots: circles are sky fibers. Colors give sky line brightness relative to plate median sky line brightness
FrameNreadsZeropointsMag plots Spatial mag deviation Spatial sky 16325A emission deviations (filled: sky, open: star) Spatial sky continuum emission Spatial sky telluric CO2 absorption deviations (filled: H < 10)
0 0
RedGreenBlue
z17.64
znorm Inf
sky -Inf -Inf -Inf
S/N 28.7 48.8 51.3
S/N(c) 0.0 0.0 0.0
SN(E/C) 0.91

IPAIRNAMESHIFTNEWSHIFTS/N NAMESHIFTNEWSHIFTS/N
0 10820047 0.483939 0.00000 19.1604 10820050 -0.000171049 0.484110 19.1655
1 10820048 0.483362 0.000577003 19.1928 10820049 -0.000180087 0.484119 19.1762
2 10820051 0.483263 0.000676006 19.1113 10820053 0.00183920 0.482100 19.1132
3 10820052 0.483610 0.000328988 19.0766 10820046 0.00000 0.483939 19.0802