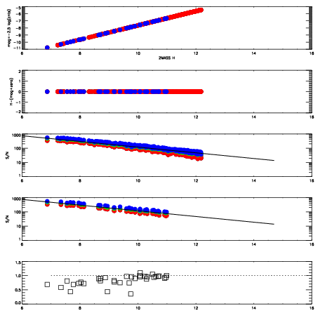
Left plots: red are targets, blue are telluric. Observed mags are calculated from median value of green chip. Zeropoint gives overall throughput: bigger number is more throughput.
First spatial plots: circles are objects, squares are tellurics, crosses are sky fibers. Colors give deviation of observed mag from expected 2MASS mag using the median zeropoint; red is brighter
Second spatial plots: circles are sky fibers. Colors give sky line brightness relative to plate median sky line brightness
FrameNreadsZeropointsMag plots Spatial mag deviation Spatial sky 16325A emission deviations (filled: sky, open: star) Spatial sky continuum emission Spatial sky telluric CO2 absorption deviations (filled: H < 10)
0 0
RedGreenBlue
z17.64
znorm Inf
sky -Inf -Inf -Inf
S/N 26.6 45.0 48.5
S/N(c) 0.0 0.0 0.0
SN(E/C) 0.90

IPAIRNAMESHIFTNEWSHIFTS/N NAMESHIFTNEWSHIFTS/N
0 11110034 0.474092 0.00000 18.9927 11110036 -0.00635534 0.480447 18.9199
1 11110039 0.471928 0.00216401 19.0423 11110040 -0.00613799 0.480230 19.0467
2 11110038 0.472028 0.00206402 19.0299 11110033 0.00000 0.474092 18.9425
3 11110035 0.473785 0.000306994 18.9870 11110037 -0.00614938 0.480241 18.8659