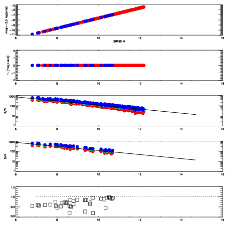
Left plots: red are targets, blue are telluric. Observed mags are calculated from median value of green chip. Zeropoint gives overall throughput: bigger number is more throughput.
First spatial plots: circles are objects, squares are tellurics, crosses are sky fibers. Colors give deviation of observed mag from expected 2MASS mag using the median zeropoint; red is brighter
Second spatial plots: circles are sky fibers. Colors give sky line brightness relative to plate median sky line brightness
FrameNreadsZeropointsMag plots Spatial mag deviation Spatial sky 16325A emission deviations (filled: sky, open: star) Spatial sky continuum emission Spatial sky telluric CO2 absorption deviations (filled: H < 10)
0 0
RedGreenBlue
z17.64
znorm Inf
sky -NaN -NaN -Inf
S/N 26.4 44.2 47.3
S/N(c) 0.0 0.0 0.0
SN(E/C) 0.70

IPAIRNAMESHIFTNEWSHIFTS/N NAMESHIFTNEWSHIFTS/N
0 10270070 0.499333 0.00000 18.9675 10270072 0.00253490 0.496798 19.0299
1 10270069 0.499142 0.000191003 19.0099 10270075 0.00222119 0.497112 19.0604
2 10270073 0.496449 0.00288400 19.0051 10270071 0.00252658 0.496806 19.0522
3 10270074 0.496503 0.00283000 18.9770 10270068 0.00000 0.499333 19.0348