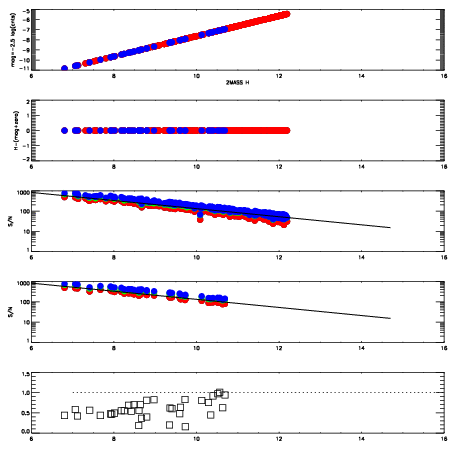
Left plots: red are targets, blue are telluric. Observed mags are calculated from median value of green chip. Zeropoint gives overall throughput: bigger number is more throughput.
First spatial plots: circles are objects, squares are tellurics, crosses are sky fibers. Colors give deviation of observed mag from expected 2MASS mag using the median zeropoint; red is brighter
Second spatial plots: circles are sky fibers. Colors give sky line brightness relative to plate median sky line brightness
FrameNreadsZeropointsMag plots Spatial mag deviation Spatial sky 16325A emission deviations (filled: sky, open: star) Spatial sky continuum emission Spatial sky telluric CO2 absorption deviations (filled: H < 10)
0 0
RedGreenBlue
z17.64
znorm Inf
sky -Inf -Inf -NaN
S/N 31.8 52.6 54.2
S/N(c) 0.0 0.0 0.0
SN(E/C) 0.56

IPAIRNAMESHIFTNEWSHIFTS/N NAMESHIFTNEWSHIFTS/N
0 10310037 0.507421 0.00000 19.1689 10310035 0.00394458 0.503476 19.1430
1 10310036 0.507047 0.000374019 19.1497 10310034 0.00345491 0.503966 19.1218
2 10310032 0.504976 0.00244504 19.1411 10310039 0.00129517 0.506126 19.1175
3 10310040 0.506378 0.00104302 19.1241 10310038 0.000421057 0.507000 19.0937
4 10310033 0.506037 0.00138402 19.0843 10310031 0.00000 0.507421 19.0816