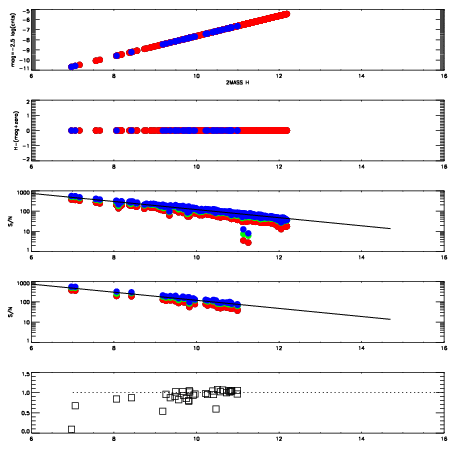
Left plots: red are targets, blue are telluric. Observed mags are calculated from median value of green chip. Zeropoint gives overall throughput: bigger number is more throughput.
First spatial plots: circles are objects, squares are tellurics, crosses are sky fibers. Colors give deviation of observed mag from expected 2MASS mag using the median zeropoint; red is brighter
Second spatial plots: circles are sky fibers. Colors give sky line brightness relative to plate median sky line brightness
FrameNreadsZeropointsMag plots Spatial mag deviation Spatial sky 16325A emission deviations (filled: sky, open: star) Spatial sky continuum emission Spatial sky telluric CO2 absorption deviations (filled: H < 10)
0 0
RedGreenBlue
z17.64
znorm Inf
sky -Inf -Inf -Inf
S/N 21.1 39.5 41.5
S/N(c) 0.0 0.0 0.0
SN(E/C) 0.96

IPAIRNAMESHIFTNEWSHIFTS/N NAMESHIFTNEWSHIFTS/N
0 11400032 0.473344 0.00000 18.6396 11400030 -0.00171274 0.475057 18.6474
1 11400031 0.472313 0.00103101 18.7361 11400026 0.00000 0.473344 18.7358
2 11400027 0.472019 0.00132501 18.7267 11400029 -0.00146715 0.474811 18.7072
3 11400028 0.472847 0.000496984 18.6757 11400033 -0.00153592 0.474880 18.6879