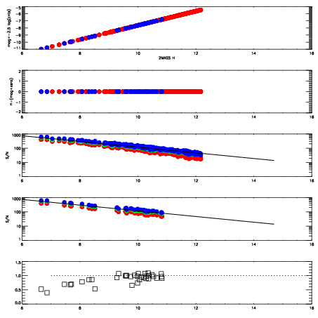
Left plots: red are targets, blue are telluric. Observed mags are calculated from median value of green chip. Zeropoint gives overall throughput: bigger number is more throughput.
First spatial plots: circles are objects, squares are tellurics, crosses are sky fibers. Colors give deviation of observed mag from expected 2MASS mag using the median zeropoint; red is brighter
Second spatial plots: circles are sky fibers. Colors give sky line brightness relative to plate median sky line brightness
FrameNreadsZeropointsMag plots Spatial mag deviation Spatial sky 16325A emission deviations (filled: sky, open: star) Spatial sky continuum emission Spatial sky telluric CO2 absorption deviations (filled: H < 10)
0 0
RedGreenBlue
z17.64
znorm Inf
sky -Inf -Inf -Inf
S/N 22.6 39.3 41.3
S/N(c) 0.0 0.0 0.0
SN(E/C) 0.93

IPAIRNAMESHIFTNEWSHIFTS/N NAMESHIFTNEWSHIFTS/N
0 11400042 0.473794 0.00000 18.6945 11400041 -0.00139230 0.475186 18.7332
1 11400038 0.472357 0.00143701 18.8064 11400044 -0.00170126 0.475495 18.7546
2 11400039 0.472929 0.000865012 18.7537 11400040 -0.00217553 0.475970 18.7500
3 11400043 0.472947 0.000847012 18.7534 11400037 0.00000 0.473794 18.7360