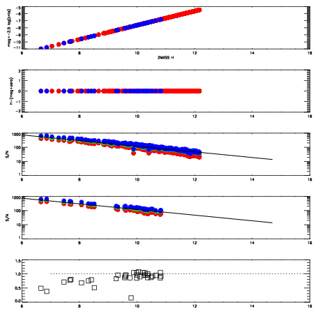
Left plots: red are targets, blue are telluric. Observed mags are calculated from median value of green chip. Zeropoint gives overall throughput: bigger number is more throughput.
First spatial plots: circles are objects, squares are tellurics, crosses are sky fibers. Colors give deviation of observed mag from expected 2MASS mag using the median zeropoint; red is brighter
Second spatial plots: circles are sky fibers. Colors give sky line brightness relative to plate median sky line brightness
FrameNreadsZeropointsMag plots Spatial mag deviation Spatial sky 16325A emission deviations (filled: sky, open: star) Spatial sky continuum emission Spatial sky telluric CO2 absorption deviations (filled: H < 10)
0 0
RedGreenBlue
z17.64
znorm Inf
sky -NaN -Inf -NaN
S/N 24.4 43.9 46.7
S/N(c) 0.0 0.0 0.0
SN(E/C) 0.90

IPAIRNAMESHIFTNEWSHIFTS/N NAMESHIFTNEWSHIFTS/N
0 11440037 0.474207 0.00000 18.7161 11440038 -0.00155896 0.475766 18.8349
1 11440032 0.473249 0.000958025 19.0131 11440031 0.00000 0.474207 19.0067
2 11440033 0.473749 0.000458002 19.0122 11440035 -0.00174451 0.475952 18.9937
3 11440036 0.473698 0.000509024 18.8426 11440034 -0.00150806 0.475715 18.9936