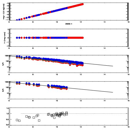
Left plots: red are targets, blue are telluric. Observed mags are calculated from median value of green chip. Zeropoint gives overall throughput: bigger number is more throughput.
First spatial plots: circles are objects, squares are tellurics, crosses are sky fibers. Colors give deviation of observed mag from expected 2MASS mag using the median zeropoint; red is brighter
Second spatial plots: circles are sky fibers. Colors give sky line brightness relative to plate median sky line brightness
FrameNreadsZeropointsMag plots Spatial mag deviation Spatial sky 16325A emission deviations (filled: sky, open: star) Spatial sky continuum emission Spatial sky telluric CO2 absorption deviations (filled: H < 10)
0 0
RedGreenBlue
z17.64
znorm Inf
sky -Inf -NaN -Inf
S/N 24.5 44.0 45.8
S/N(c) 0.0 0.0 0.0
SN(E/C) 0.90

IPAIRNAMESHIFTNEWSHIFTS/N NAMESHIFTNEWSHIFTS/N
0 11670038 0.492299 0.00000 18.9303 11670036 0.00000 0.492299 18.9370
1 11670037 0.491946 0.000352979 18.9327 11670039 -0.00388431 0.496183 18.9390
2 11670041 0.491254 0.00104499 18.8668 11670040 -0.00379706 0.496096 18.9074
3 11670042 0.491356 0.000943005 18.8321 11670043 -0.00263582 0.494935 18.7160