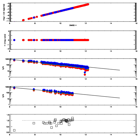
Left plots: red are targets, blue are telluric. Observed mags are calculated from median value of green chip. Zeropoint gives overall throughput: bigger number is more throughput.
First spatial plots: circles are objects, squares are tellurics, crosses are sky fibers. Colors give deviation of observed mag from expected 2MASS mag using the median zeropoint; red is brighter
Second spatial plots: circles are sky fibers. Colors give sky line brightness relative to plate median sky line brightness
FrameNreadsZeropointsMag plots Spatial mag deviation Spatial sky 16325A emission deviations (filled: sky, open: star) Spatial sky continuum emission Spatial sky telluric CO2 absorption deviations (filled: H < 10)
0 0
RedGreenBlue
z17.64
znorm Inf
sky -Inf -Inf -Inf
S/N 23.3 41.2 44.7
S/N(c) 0.0 0.0 0.0
SN(E/C) 0.94

IPAIRNAMESHIFTNEWSHIFTS/N NAMESHIFTNEWSHIFTS/N
0 11410039 0.472719 0.00000 18.7741 11410040 -0.000110256 0.472829 18.9596
1 11410034 0.472258 0.000461012 18.8196 11410037 -0.00154967 0.474269 19.0385
2 11410038 0.472375 0.000344008 18.8051 11410036 -0.00182959 0.474549 18.9988
3 11410035 0.471785 0.000934005 18.6277 11410033 0.00000 0.472719 18.6734