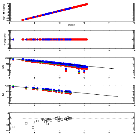
Left plots: red are targets, blue are telluric. Observed mags are calculated from median value of green chip. Zeropoint gives overall throughput: bigger number is more throughput.
First spatial plots: circles are objects, squares are tellurics, crosses are sky fibers. Colors give deviation of observed mag from expected 2MASS mag using the median zeropoint; red is brighter
Second spatial plots: circles are sky fibers. Colors give sky line brightness relative to plate median sky line brightness
FrameNreadsZeropointsMag plots Spatial mag deviation Spatial sky 16325A emission deviations (filled: sky, open: star) Spatial sky continuum emission Spatial sky telluric CO2 absorption deviations (filled: H < 10)
0 0
RedGreenBlue
z17.64
znorm Inf
sky -Inf -Inf -Inf
S/N 18.9 31.8 35.0
S/N(c) 0.0 0.0 0.0
SN(E/C) 0.95

IPAIRNAMESHIFTNEWSHIFTS/N NAMESHIFTNEWSHIFTS/N
0 11390035 0.468243 0.00000 18.7504 11390040 -0.00186064 0.470104 18.7185
1 11390034 0.467427 0.000816017 18.9535 11390033 0.00000 0.468243 18.9149
2 11390039 0.467299 0.000943989 18.5828 11390036 -0.00138147 0.469624 18.6669
3 11390038 0.466608 0.00163502 18.5543 11390037 -0.000361614 0.468605 18.6483