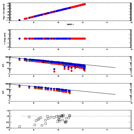
Left plots: red are targets, blue are telluric. Observed mags are calculated from median value of green chip. Zeropoint gives overall throughput: bigger number is more throughput.
First spatial plots: circles are objects, squares are tellurics, crosses are sky fibers. Colors give deviation of observed mag from expected 2MASS mag using the median zeropoint; red is brighter
Second spatial plots: circles are sky fibers. Colors give sky line brightness relative to plate median sky line brightness
FrameNreadsZeropointsMag plots Spatial mag deviation Spatial sky 16325A emission deviations (filled: sky, open: star) Spatial sky continuum emission Spatial sky telluric CO2 absorption deviations (filled: H < 10)
0 0
RedGreenBlue
z17.64
znorm Inf
sky -Inf -Inf -Inf
S/N 14.3 27.8 28.1
S/N(c) 0.0 0.0 0.0
SN(E/C) 0.82

IPAIRNAMESHIFTNEWSHIFTS/N NAMESHIFTNEWSHIFTS/N
0 11160030 0.485126 0.00000 18.2801 11160031 0.00127929 0.483847 18.3742
1 11160029 0.484205 0.000920981 18.0925 11160028 0.000551284 0.484575 18.3510
2 11160026 0.484586 0.000539988 18.0395 11160027 0.000783457 0.484343 18.0954
3 11160025 0.483671 0.00145498 17.9973 11160024 0.00000 0.485126 17.7660