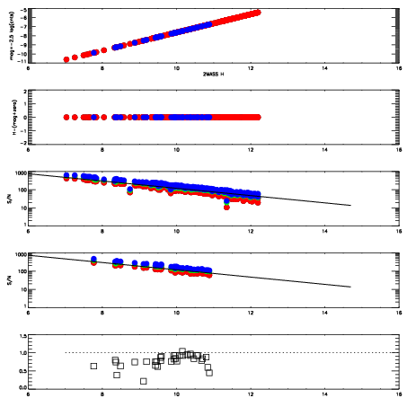
Left plots: red are targets, blue are telluric. Observed mags are calculated from median value of green chip. Zeropoint gives overall throughput: bigger number is more throughput.
First spatial plots: circles are objects, squares are tellurics, crosses are sky fibers. Colors give deviation of observed mag from expected 2MASS mag using the median zeropoint; red is brighter
Second spatial plots: circles are sky fibers. Colors give sky line brightness relative to plate median sky line brightness
FrameNreadsZeropointsMag plots Spatial mag deviation Spatial sky 16325A emission deviations (filled: sky, open: star) Spatial sky continuum emission Spatial sky telluric CO2 absorption deviations (filled: H < 10)
0 0
RedGreenBlue
z17.64
znorm Inf
sky -NaN -NaN -Inf
S/N 28.9 49.8 52.9
S/N(c) 0.0 0.0 0.0
SN(E/C) 0.80

IPAIRNAMESHIFTNEWSHIFTS/N NAMESHIFTNEWSHIFTS/N
0 11350049 0.477340 0.00000 19.1732 11350050 -0.000130302 0.477470 19.1640
1 11350045 0.476462 0.000878006 19.1832 11350046 -0.00103998 0.478380 19.1753
2 11350048 0.477046 0.000294000 19.1696 11350047 -0.000509016 0.477849 19.1628
3 11350044 0.474924 0.00241601 19.1529 11350043 0.00000 0.477340 19.1351