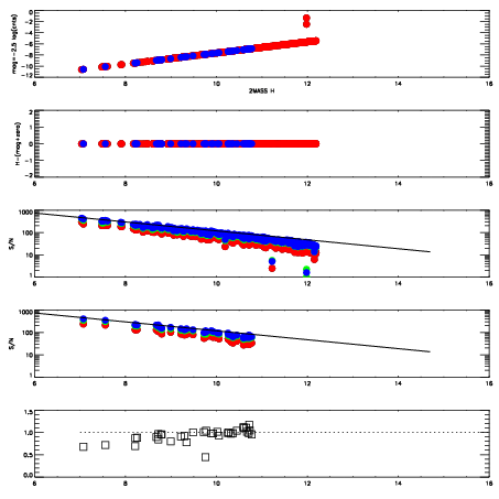
Left plots: red are targets, blue are telluric. Observed mags are calculated from median value of green chip. Zeropoint gives overall throughput: bigger number is more throughput.
First spatial plots: circles are objects, squares are tellurics, crosses are sky fibers. Colors give deviation of observed mag from expected 2MASS mag using the median zeropoint; red is brighter
Second spatial plots: circles are sky fibers. Colors give sky line brightness relative to plate median sky line brightness
FrameNreadsZeropointsMag plots Spatial mag deviation Spatial sky 16325A emission deviations (filled: sky, open: star) Spatial sky continuum emission Spatial sky telluric CO2 absorption deviations (filled: H < 10)
0 0
RedGreenBlue
z17.64
znorm Inf
sky -Inf -Inf -NaN
S/N 13.4 25.1 27.0
S/N(c) 0.0 0.0 0.0
SN(E/C) 0.97

IPAIRNAMESHIFTNEWSHIFTS/N NAMESHIFTNEWSHIFTS/N
0 11170069 0.483053 0.00000 18.0126 11170074 -0.00396808 0.487021 18.1630
1 11170068 0.483029 2.39909e-05 18.3037 11170070 -0.00332350 0.486376 18.3016
2 11170073 0.481409 0.00164399 18.0308 11170067 0.00000 0.483053 18.1948
3 11170072 0.481631 0.00142199 17.8004 11170071 -0.00285158 0.485905 17.9092