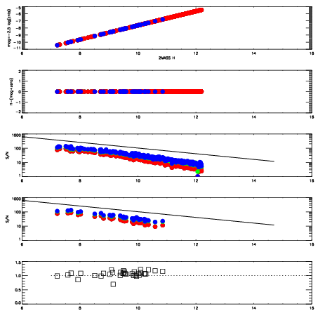
Left plots: red are targets, blue are telluric. Observed mags are calculated from median value of green chip. Zeropoint gives overall throughput: bigger number is more throughput.
First spatial plots: circles are objects, squares are tellurics, crosses are sky fibers. Colors give deviation of observed mag from expected 2MASS mag using the median zeropoint; red is brighter
Second spatial plots: circles are sky fibers. Colors give sky line brightness relative to plate median sky line brightness
FrameNreadsZeropointsMag plots Spatial mag deviation Spatial sky 16325A emission deviations (filled: sky, open: star) Spatial sky continuum emission Spatial sky telluric CO2 absorption deviations (filled: H < 10)
0 0
RedGreenBlue
z17.64
znorm Inf
sky -Inf -Inf -Inf
S/N 3.6 7.1 7.4
S/N(c) 0.0 0.0 0.0
SN(E/C) 1.07

IPAIRNAMESHIFTNEWSHIFTS/N NAMESHIFTNEWSHIFTS/N
0 11660043 0.496517 0.00000 16.7197 11660044 -0.00491689 0.501434 17.5436
1 11660046 0.494658 0.00185901 16.2757 11660045 -0.00464226 0.501159 16.8231
2 11660047 0.495278 0.00123900 15.7954 11660048 -0.00493319 0.501450 15.5389