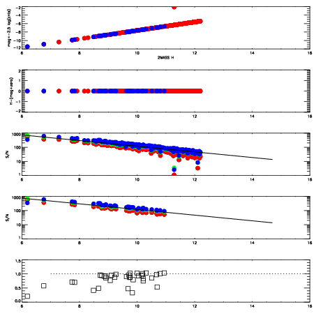
Left plots: red are targets, blue are telluric. Observed mags are calculated from median value of green chip. Zeropoint gives overall throughput: bigger number is more throughput.
First spatial plots: circles are objects, squares are tellurics, crosses are sky fibers. Colors give deviation of observed mag from expected 2MASS mag using the median zeropoint; red is brighter
Second spatial plots: circles are sky fibers. Colors give sky line brightness relative to plate median sky line brightness
FrameNreadsZeropointsMag plots Spatial mag deviation Spatial sky 16325A emission deviations (filled: sky, open: star) Spatial sky continuum emission Spatial sky telluric CO2 absorption deviations (filled: H < 10)
0 0
RedGreenBlue
z17.64
znorm Inf
sky -Inf -Inf -Inf
S/N 23.9 43.1 45.2
S/N(c) 0.0 0.0 0.0
SN(E/C) 0.88

IPAIRNAMESHIFTNEWSHIFTS/N NAMESHIFTNEWSHIFTS/N
0 10940067 0.515435 0.00000 18.9150 10940064 -0.00440260 0.519838 18.9273
1 10940066 0.514900 0.000534952 18.9376 10940068 -0.00332198 0.518757 18.9341
2 10940063 0.515209 0.000225961 18.8198 10940061 0.00000 0.515435 18.9094
3 10940062 0.513992 0.00144297 18.8165 10940065 -0.00385871 0.519294 18.9085