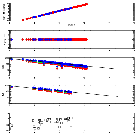
Left plots: red are targets, blue are telluric. Observed mags are calculated from median value of green chip. Zeropoint gives overall throughput: bigger number is more throughput.
First spatial plots: circles are objects, squares are tellurics, crosses are sky fibers. Colors give deviation of observed mag from expected 2MASS mag using the median zeropoint; red is brighter
Second spatial plots: circles are sky fibers. Colors give sky line brightness relative to plate median sky line brightness
FrameNreadsZeropointsMag plots Spatial mag deviation Spatial sky 16325A emission deviations (filled: sky, open: star) Spatial sky continuum emission Spatial sky telluric CO2 absorption deviations (filled: H < 10)
0 0
RedGreenBlue
z17.64
znorm Inf
sky -Inf -Inf -Inf
S/N 21.3 38.1 40.2
S/N(c) 0.0 0.0 0.0
SN(E/C) 0.78

IPAIRNAMESHIFTNEWSHIFTS/N NAMESHIFTNEWSHIFTS/N
0 10910072 0.508078 0.00000 18.5288 10910073 -0.00366397 0.511742 18.6183
1 10910067 0.507487 0.000590980 18.9426 10910069 -0.00333538 0.511413 18.7847
2 10910068 0.507002 0.00107598 18.8597 10910066 0.00000 0.508078 18.6889
3 10910071 0.507999 7.89762e-05 18.5361 10910070 -0.00317036 0.511248 18.6568