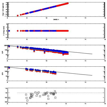
Left plots: red are targets, blue are telluric. Observed mags are calculated from median value of green chip. Zeropoint gives overall throughput: bigger number is more throughput.
First spatial plots: circles are objects, squares are tellurics, crosses are sky fibers. Colors give deviation of observed mag from expected 2MASS mag using the median zeropoint; red is brighter
Second spatial plots: circles are sky fibers. Colors give sky line brightness relative to plate median sky line brightness
FrameNreadsZeropointsMag plots Spatial mag deviation Spatial sky 16325A emission deviations (filled: sky, open: star) Spatial sky continuum emission Spatial sky telluric CO2 absorption deviations (filled: H < 10)
0 0
RedGreenBlue
z17.64
znorm Inf
sky -Inf -Inf -Inf
S/N 17.9 32.4 34.5
S/N(c) 0.0 0.0 0.0
SN(E/C) 0.82

IPAIRNAMESHIFTNEWSHIFTS/N NAMESHIFTNEWSHIFTS/N
0 11670012 0.497727 0.00000 18.3762 11670013 -0.00226370 0.499991 18.1343
1 11670011 0.496884 0.000843018 18.7658 11670010 0.00000 0.497727 18.7091
2 11670016 0.494210 0.00351700 18.3940 11670017 -0.00459805 0.502325 18.4602
3 11670015 0.494690 0.00303701 18.1884 11670014 -0.00295635 0.500683 18.1300