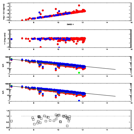
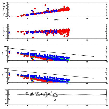
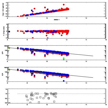
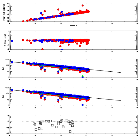
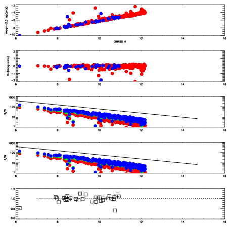
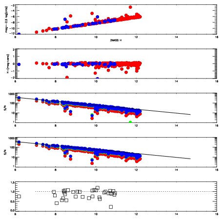
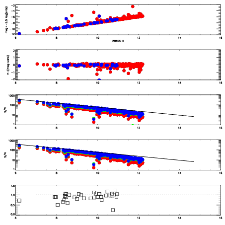
Frame | Nreads | Zeropoints | Mag plots
| Spatial mag deviation
| Spatial sky 16325A emission deviations (filled: sky, open: star)
| Spatial sky continuum emission
| Spatial sky telluric CO2 absorption deviations (filled: H < 10)
|
12020014
| 47
| | Red | Green | Blue
| z | | 18.99
| znorm | | 14.81
| sky | 14.3 | 14.3 | 13.9
| S/N | 14.6 | 23.8 | 23.8
| S/N(c) | 26.8 | 30.3 | 13.6
| SN(E/C) | 0.78
|
|
|
|
|
|
|
12020015
| 47
| | Red | Green | Blue
| z | | 18.77
| znorm | | 14.59
| sky | 14.4 | 14.2 | 14.1
| S/N | 12.3 | 20.9 | 20.9
| S/N(c) | 23.2 | 27.0 | 12.2
| SN(E/C) | 0.86
|
|
|
|
|
|
|
12020016
| 47
| | Red | Green | Blue
| z | | 18.81
| znorm | | 14.63
| sky | 14.3 | 14.2 | 14.1
| S/N | 12.6 | 21.1 | 21.5
| S/N(c) | 23.9 | 27.6 | 12.4
| SN(E/C) | 0.84
|
|
|
|
|
|
|
12020017
| 47
| | Red | Green | Blue
| z | | 18.26
| znorm | | 14.08
| sky | 14.3 | 14.1 | 14.1
| S/N | 8.3 | 14.8 | 15.3
| S/N(c) | 16.5 | 20.3 | 9.3
| SN(E/C) | 0.91
|
|
|
|
|
|
|
12020018
| 47
| | Red | Green | Blue
| z | | 18.98
| znorm | | 14.80
| sky | 14.3 | 14.2 | 14.1
| S/N | 13.9 | 23.3 | 23.3
| S/N(c) | 26.4 | 30.2 | 13.5
| SN(E/C) | 0.85
|
|
|
|
|
|
|
12020019
| 47
| | Red | Green | Blue
| z | | 17.91
| znorm | | 13.73
| sky | 14.1 | 14.1 | 14.3
| S/N | 6.2 | 11.9 | 12.9
| S/N(c) | 12.8 | 16.7 | 7.7
| SN(E/C) | 0.91
|
|
|
|
|
|
|
12020020
| 47
| | Red | Green | Blue
| z | | 16.22
| znorm | | 12.04
| sky | 13.9 | 14.0 | 14.2
| S/N | 1.2 | 3.0 | 3.4
| S/N(c) | 3.2 | 5.3 | 2.6
| SN(E/C) | 1.00
|
|
|
|
|
|
|
12020021
| 47
| | Red | Green | Blue
| z | | 14.78
| znorm | | 10.60
| sky | 13.8 | 13.9 | 14.2
| S/N | 0.3 | 0.9 | 0.7
| S/N(c) | 0.8 | 1.6 | 1.0
| SN(E/C) | 1.02
|
|
|
|
|
|
|