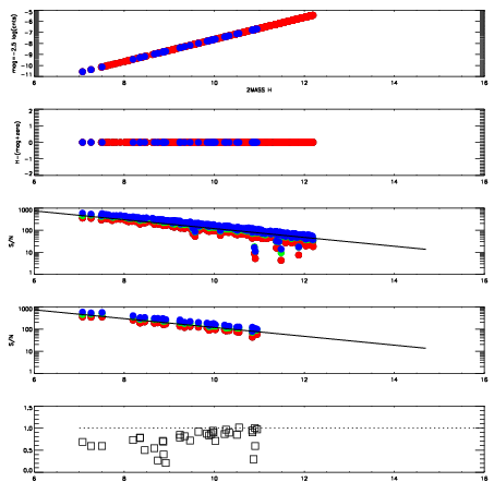
Left plots: red are targets, blue are telluric. Observed mags are calculated from median value of green chip. Zeropoint gives overall throughput: bigger number is more throughput.
First spatial plots: circles are objects, squares are tellurics, crosses are sky fibers. Colors give deviation of observed mag from expected 2MASS mag using the median zeropoint; red is brighter
Second spatial plots: circles are sky fibers. Colors give sky line brightness relative to plate median sky line brightness
FrameNreadsZeropointsMag plots Spatial mag deviation Spatial sky 16325A emission deviations (filled: sky, open: star) Spatial sky continuum emission Spatial sky telluric CO2 absorption deviations (filled: H < 10)
0 0
RedGreenBlue
z17.64
znorm Inf
sky -Inf -Inf -Inf
S/N 29.6 49.5 51.5
S/N(c) 0.0 0.0 0.0
SN(E/C) 0.78

IPAIRNAMESHIFTNEWSHIFTS/N NAMESHIFTNEWSHIFTS/N
0 11140067 0.480722 0.00000 19.1125 11140061 0.00000 0.480722 19.0866
1 11140062 0.475438 0.00528401 19.1439 11140068 -0.000644820 0.481367 19.1512
2 11140063 0.476644 0.00407800 19.1397 11140065 -0.00190351 0.482626 19.1287
3 11140066 0.480342 0.000380009 19.1253 11140064 -0.00231616 0.483038 19.1164