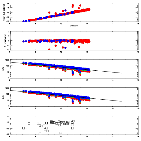
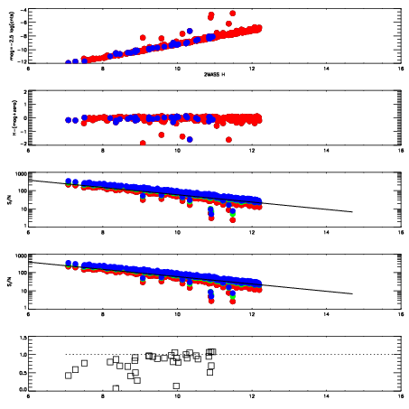
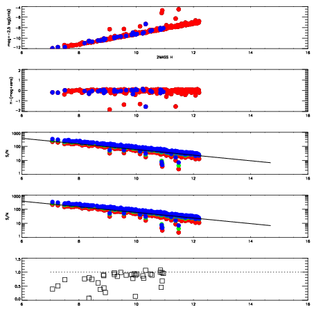
Frame | Nreads | Zeropoints | Mag plots
| Spatial mag deviation
| Spatial sky 16325A emission deviations (filled: sky, open: star)
| Spatial sky continuum emission
| Spatial sky telluric CO2 absorption deviations (filled: H < 10)
|
11970011
| 47
| | Red | Green | Blue
| z | | 19.19
| znorm | | 15.00
| sky | 14.2 | 13.9 | 13.6
| S/N | 17.3 | 26.8 | 27.5
| S/N(c) | 33.9 | 42.0 | 7.8
| SN(E/C) | 0.86
|
|
|
|
|
|
|
11970012
| 47
| | Red | Green | Blue
| z | | 19.18
| znorm | | 15.00
| sky | 14.4 | 14.3 | 14.1
| S/N | 16.6 | 27.1 | 28.3
| S/N(c) | 33.6 | 41.8 | 7.9
| SN(E/C) | 0.87
|
|
|
|
|
|
|
11970013
| 47
| | Red | Green | Blue
| z | | 19.16
| znorm | | 14.98
| sky | 14.3 | 14.3 | 14.1
| S/N | 16.4 | 26.4 | 27.7
| S/N(c) | 32.9 | 41.2 | 7.9
| SN(E/C) | 0.87
|
|
|
|
|
|
|
11970014
| 47
| | Red | Green | Blue
| z | | 19.15
| znorm | | 14.97
| sky | 14.4 | 14.2 | 14.1
| S/N | 16.2 | 26.3 | 27.8
| S/N(c) | 32.5 | 41.1 | 7.9
| SN(E/C) | 0.86
|
|
|
|
|
|
|
11970015
| 47
| | Red | Green | Blue
| z | | 19.12
| znorm | | 14.94
| sky | 14.3 | 14.2 | 14.1
| S/N | 15.8 | 25.4 | 27.2
| S/N(c) | 32.6 | 40.5 | 7.8
| SN(E/C) | 0.89
|
|
|
|
|
|
|
11970016
| 47
| | Red | Green | Blue
| z | | 19.12
| znorm | | 14.94
| sky | 14.5 | 14.3 | 14.2
| S/N | 16.0 | 26.0 | 27.5
| S/N(c) | 32.3 | 40.6 | 7.8
| SN(E/C) | 0.88
|
|
|
|
|
|
|
11970017
| 47
| | Red | Green | Blue
| z | | 19.01
| znorm | | 14.83
| sky | 14.4 | 14.1 | 14.1
| S/N | 14.9 | 23.9 | 25.7
| S/N(c) | 30.3 | 38.6 | 7.4
| SN(E/C) | 0.90
|
|
|
|
|
|
|
11970018
| 47
| | Red | Green | Blue
| z | | 18.97
| znorm | | 14.79
| sky | 14.1 | 14.2 | 14.1
| S/N | 14.0 | 23.6 | 25.0
| S/N(c) | 29.7 | 37.4 | 7.2
| SN(E/C) | 0.90
|
|
|
|
|
|
|