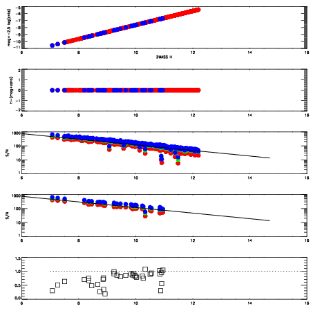
Left plots: red are targets, blue are telluric. Observed mags are calculated from median value of green chip. Zeropoint gives overall throughput: bigger number is more throughput.
First spatial plots: circles are objects, squares are tellurics, crosses are sky fibers. Colors give deviation of observed mag from expected 2MASS mag using the median zeropoint; red is brighter
Second spatial plots: circles are sky fibers. Colors give sky line brightness relative to plate median sky line brightness
FrameNreadsZeropointsMag plots Spatial mag deviation Spatial sky 16325A emission deviations (filled: sky, open: star) Spatial sky continuum emission Spatial sky telluric CO2 absorption deviations (filled: H < 10)
0 0
RedGreenBlue
z17.64
znorm Inf
sky -Inf -Inf -Inf
S/N 28.7 46.7 51.3
S/N(c) 0.0 0.0 0.0
SN(E/C) 0.80

IPAIRNAMESHIFTNEWSHIFTS/N NAMESHIFTNEWSHIFTS/N
0 11970017 0.499335 0.00000 18.9942 11970018 -0.00117532 0.500510 18.9521
1 11970012 0.498786 0.000548989 19.1742 11970011 0.00000 0.499335 19.1747
2 11970013 0.498585 0.000750005 19.1461 11970014 -0.00304103 0.502376 19.1429
3 11970016 0.498489 0.000845999 19.1124 11970015 -0.00299148 0.502326 19.1044