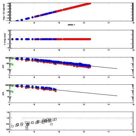
Left plots: red are targets, blue are telluric. Observed mags are calculated from median value of green chip. Zeropoint gives overall throughput: bigger number is more throughput.
First spatial plots: circles are objects, squares are tellurics, crosses are sky fibers. Colors give deviation of observed mag from expected 2MASS mag using the median zeropoint; red is brighter
Second spatial plots: circles are sky fibers. Colors give sky line brightness relative to plate median sky line brightness
FrameNreadsZeropointsMag plots Spatial mag deviation Spatial sky 16325A emission deviations (filled: sky, open: star) Spatial sky continuum emission Spatial sky telluric CO2 absorption deviations (filled: H < 10)
0 0
RedGreenBlue
z17.64
znorm Inf
sky -Inf -Inf -Inf
S/N 33.7 52.0 53.2
S/N(c) 0.0 0.0 0.0
SN(E/C) 0.61

IPAIRNAMESHIFTNEWSHIFTS/N NAMESHIFTNEWSHIFTS/N
0 10450082 0.506447 0.00000 19.2537 10450083 0.00283668 0.503610 19.2574
1 10450081 0.505723 0.000724018 19.2649 10450080 0.00185489 0.504592 19.2597
2 10450077 0.501925 0.00452203 19.2448 10450079 0.00194693 0.504500 19.2421
3 10450078 0.502247 0.00420004 19.2189 10450076 0.00000 0.506447 19.2389