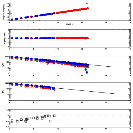
Left plots: red are targets, blue are telluric. Observed mags are calculated from median value of green chip. Zeropoint gives overall throughput: bigger number is more throughput.
First spatial plots: circles are objects, squares are tellurics, crosses are sky fibers. Colors give deviation of observed mag from expected 2MASS mag using the median zeropoint; red is brighter
Second spatial plots: circles are sky fibers. Colors give sky line brightness relative to plate median sky line brightness
FrameNreadsZeropointsMag plots Spatial mag deviation Spatial sky 16325A emission deviations (filled: sky, open: star) Spatial sky continuum emission Spatial sky telluric CO2 absorption deviations (filled: H < 10)
0 0
RedGreenBlue
z17.63
znorm Inf
sky -NaN -NaN -NaN
S/N 21.8 36.7 35.6
S/N(c) 0.0 0.0 0.0
SN(E/C) 0.77

IPAIRNAMESHIFTNEWSHIFTS/N NAMESHIFTNEWSHIFTS/N
0 10660025 0.509325 0.00000 18.6533 10660028 0.00310453 0.506221 18.6363
1 10660026 0.509100 0.000225008 18.8139 10660027 0.00242246 0.506903 18.6865
2 10660029 0.508138 0.00118703 18.5635 10660024 0.00000 0.509325 18.5783
3 10660030 0.508830 0.000495017 18.4067 10660031 0.00612827 0.503197 18.4874