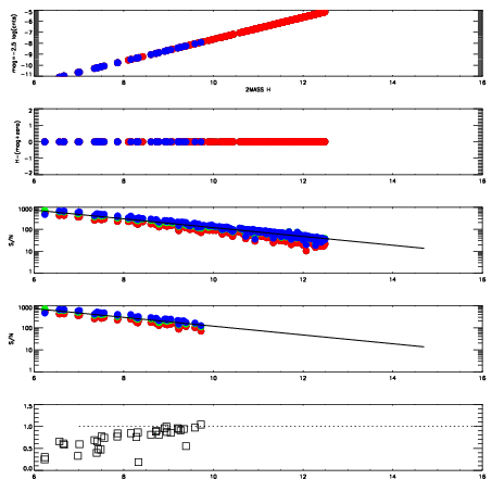
Left plots: red are targets, blue are telluric. Observed mags are calculated from median value of green chip. Zeropoint gives overall throughput: bigger number is more throughput.
First spatial plots: circles are objects, squares are tellurics, crosses are sky fibers. Colors give deviation of observed mag from expected 2MASS mag using the median zeropoint; red is brighter
Second spatial plots: circles are sky fibers. Colors give sky line brightness relative to plate median sky line brightness
FrameNreadsZeropointsMag plots Spatial mag deviation Spatial sky 16325A emission deviations (filled: sky, open: star) Spatial sky continuum emission Spatial sky telluric CO2 absorption deviations (filled: H < 10)
0 0
RedGreenBlue
z17.64
znorm Inf
sky -Inf -Inf -Inf
S/N 25.6 42.9 43.6
S/N(c) 0.0 0.0 0.0
SN(E/C) 0.77

IPAIRNAMESHIFTNEWSHIFTS/N NAMESHIFTNEWSHIFTS/N
0 10740044 0.494396 0.00000 18.8471 10740045 -0.000208518 0.494605 18.7583
1 10740048 0.493936 0.000459999 19.0238 10740049 -0.000882554 0.495279 19.0336
2 10740047 0.493042 0.00135401 19.0200 10740046 -0.000601653 0.494998 18.8670
3 10740043 0.494242 0.000153989 18.8710 10740042 0.00000 0.494396 18.8536