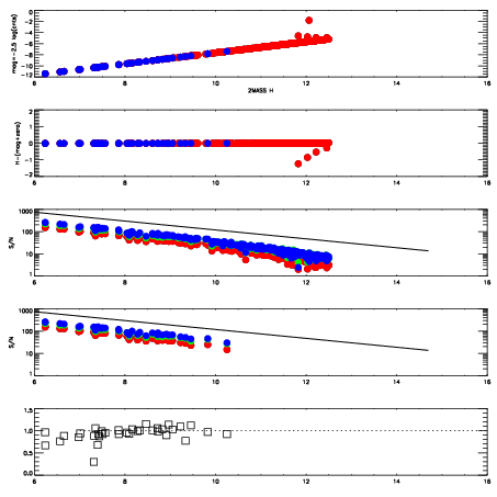
Left plots: red are targets, blue are telluric. Observed mags are calculated from median value of green chip. Zeropoint gives overall throughput: bigger number is more throughput.
First spatial plots: circles are objects, squares are tellurics, crosses are sky fibers. Colors give deviation of observed mag from expected 2MASS mag using the median zeropoint; red is brighter
Second spatial plots: circles are sky fibers. Colors give sky line brightness relative to plate median sky line brightness
FrameNreadsZeropointsMag plots Spatial mag deviation Spatial sky 16325A emission deviations (filled: sky, open: star) Spatial sky continuum emission Spatial sky telluric CO2 absorption deviations (filled: H < 10)
0 0
RedGreenBlue
z17.65
znorm Inf
sky -Inf -Inf -Inf
S/N 4.3 8.8 8.3
S/N(c) 0.0 0.0 0.0
SN(E/C) 0.96

IPAIRNAMESHIFTNEWSHIFTS/N NAMESHIFTNEWSHIFTS/N
0 10930030 0.514902 0.00000 13.7615 10930031 -0.00101811 0.515920 12.9407
1 10930025 0.512652 0.00225002 17.2028 10930024 0.00000 0.514902 17.5143
2 10930026 0.512809 0.00209302 16.1227 10930027 -0.00293414 0.517836 15.7225
3 10930029 0.514744 0.000158012 14.7017 10930028 -0.00208534 0.516987 14.3637