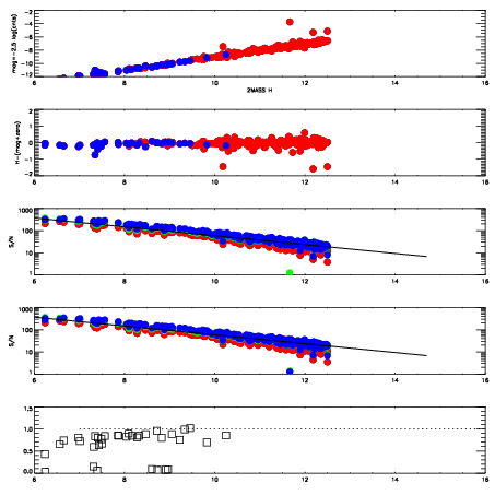
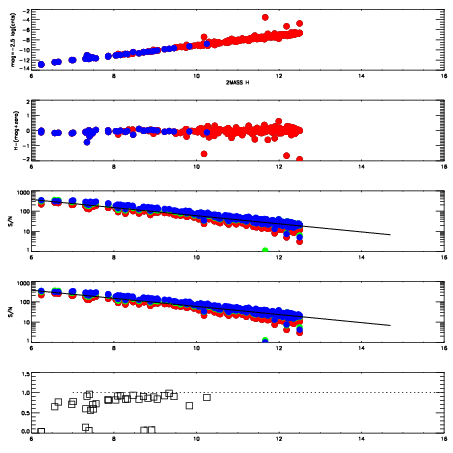
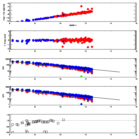
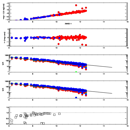
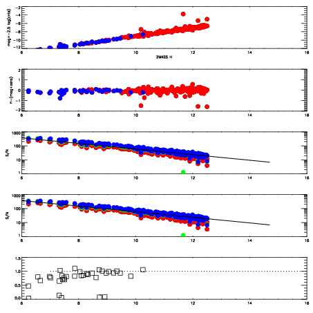
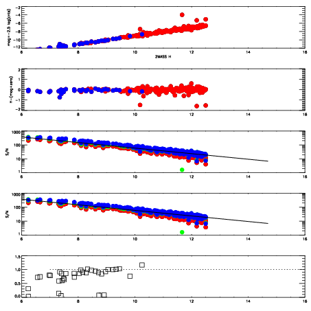
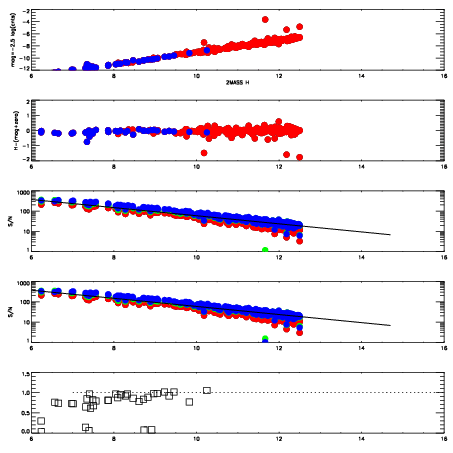
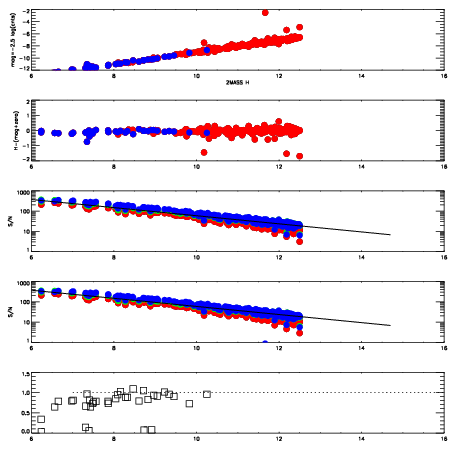
Frame | Nreads | Zeropoints | Mag plots
| Spatial mag deviation
| Spatial sky 16325A emission deviations (filled: sky, open: star)
| Spatial sky continuum emission
| Spatial sky telluric CO2 absorption deviations (filled: H < 10)
|
11040038
| 47
| | Red | Green | Blue
| z | | 19.07
| znorm | | 14.89
| sky | 14.6 | 14.1 | 13.9
| S/N | 16.4 | 24.4 | 24.1
| S/N(c) | 24.8 | 12.5 | 4.4
| SN(E/C) | 0.87
|
|
|
|
|
|
|
11040039
| 47
| | Red | Green | Blue
| z | | 19.10
| znorm | | 14.92
| sky | 14.5 | 14.2 | 14.3
| S/N | 16.9 | 25.1 | 25.4
| S/N(c) | 25.3 | 12.6 | 4.5
| SN(E/C) | 0.82
|
|
|
|
|
|
|
11040040
| 47
| | Red | Green | Blue
| z | | 19.09
| znorm | | 14.91
| sky | 14.4 | 14.3 | 14.3
| S/N | 16.9 | 25.2 | 25.5
| S/N(c) | 25.0 | 12.6 | 4.5
| SN(E/C) | 0.85
|
|
|
|
|
|
|
11040041
| 47
| | Red | Green | Blue
| z | | 19.09
| znorm | | 14.91
| sky | 14.5 | 14.4 | 14.3
| S/N | 16.5 | 25.2 | 25.4
| S/N(c) | 24.9 | 12.6 | 4.6
| SN(E/C) | 0.80
|
|
|
|
|
|
|
11040042
| 47
| | Red | Green | Blue
| z | | 19.10
| znorm | | 14.92
| sky | 14.5 | 14.3 | 14.3
| S/N | 16.7 | 25.4 | 25.5
| S/N(c) | 25.6 | 12.7 | 4.6
| SN(E/C) | 0.81
|
|
|
|
|
|
|
11040043
| 47
| | Red | Green | Blue
| z | | 19.10
| znorm | | 14.92
| sky | 14.7 | 14.6 | 14.3
| S/N | 16.4 | 25.5 | 25.4
| S/N(c) | 25.1 | 12.6 | 4.5
| SN(E/C) | 0.79
|
|
|
|
|
|
|
11040044
| 47
| | Red | Green | Blue
| z | | 19.12
| znorm | | 14.94
| sky | 14.6 | 14.5 | 14.3
| S/N | 17.0 | 25.6 | 25.6
| S/N(c) | 25.6 | 12.9 | 4.6
| SN(E/C) | 0.82
|
|
|
|
|
|
|
11040045
| 47
| | Red | Green | Blue
| z | | 19.16
| znorm | | 14.98
| sky | 14.5 | 14.5 | 14.3
| S/N | 17.1 | 26.2 | 26.3
| S/N(c) | 26.2 | 13.1 | 4.7
| SN(E/C) | 0.81
|
|
|
|
|
|
|