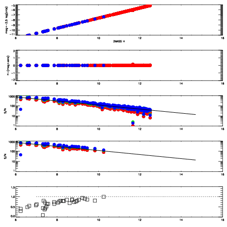
Left plots: red are targets, blue are telluric. Observed mags are calculated from median value of green chip. Zeropoint gives overall throughput: bigger number is more throughput.
First spatial plots: circles are objects, squares are tellurics, crosses are sky fibers. Colors give deviation of observed mag from expected 2MASS mag using the median zeropoint; red is brighter
Second spatial plots: circles are sky fibers. Colors give sky line brightness relative to plate median sky line brightness
FrameNreadsZeropointsMag plots Spatial mag deviation Spatial sky 16325A emission deviations (filled: sky, open: star) Spatial sky continuum emission Spatial sky telluric CO2 absorption deviations (filled: H < 10)
0 0
RedGreenBlue
z17.64
znorm Inf
sky -Inf -Inf -Inf
S/N 30.3 47.9 48.6
S/N(c) 0.0 0.0 0.0
SN(E/C) 0.73

IPAIRNAMESHIFTNEWSHIFTS/N NAMESHIFTNEWSHIFTS/N
0 11040040 0.479787 0.00000 19.0966 11040041 -0.00368433 0.483471 19.0933
1 11040044 0.479184 0.000602990 19.1231 11040045 -0.00221447 0.482001 19.1576
2 11040039 0.479029 0.000757992 19.1002 11040042 -0.00421162 0.483999 19.1058
3 11040043 0.477961 0.00182599 19.0889 11040038 0.00000 0.479787 19.0766