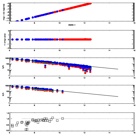
Left plots: red are targets, blue are telluric. Observed mags are calculated from median value of green chip. Zeropoint gives overall throughput: bigger number is more throughput.
First spatial plots: circles are objects, squares are tellurics, crosses are sky fibers. Colors give deviation of observed mag from expected 2MASS mag using the median zeropoint; red is brighter
Second spatial plots: circles are sky fibers. Colors give sky line brightness relative to plate median sky line brightness
FrameNreadsZeropointsMag plots Spatial mag deviation Spatial sky 16325A emission deviations (filled: sky, open: star) Spatial sky continuum emission Spatial sky telluric CO2 absorption deviations (filled: H < 10)
0 0
RedGreenBlue
z17.64
znorm Inf
sky -Inf -Inf -Inf
S/N 21.8 36.8 37.5
S/N(c) 0.0 0.0 0.0
SN(E/C) 0.80

IPAIRNAMESHIFTNEWSHIFTS/N NAMESHIFTNEWSHIFTS/N
0 11080043 0.477626 0.00000 18.8400 11080044 -0.000411120 0.478037 18.9556
1 11080042 0.477012 0.000613987 18.7980 11080041 -0.00114143 0.478767 18.8595
2 11080039 0.477110 0.000515997 18.6292 11080040 -0.000968675 0.478595 18.7419
3 11080038 0.476386 0.00123999 18.5039 11080037 0.00000 0.477626 18.2470