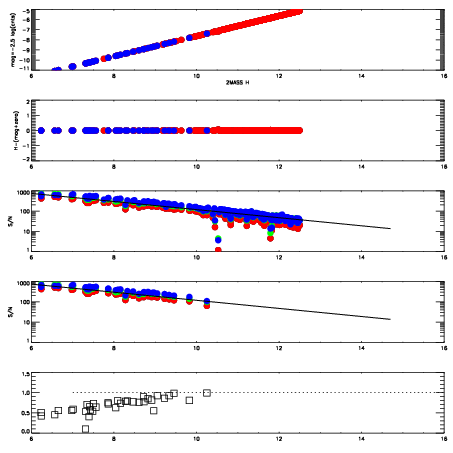
Left plots: red are targets, blue are telluric. Observed mags are calculated from median value of green chip. Zeropoint gives overall throughput: bigger number is more throughput.
First spatial plots: circles are objects, squares are tellurics, crosses are sky fibers. Colors give deviation of observed mag from expected 2MASS mag using the median zeropoint; red is brighter
Second spatial plots: circles are sky fibers. Colors give sky line brightness relative to plate median sky line brightness
FrameNreadsZeropointsMag plots Spatial mag deviation Spatial sky 16325A emission deviations (filled: sky, open: star) Spatial sky continuum emission Spatial sky telluric CO2 absorption deviations (filled: H < 10)
0 0
RedGreenBlue
z17.64
znorm Inf
sky -NaN -Inf -Inf
S/N 28.5 45.8 46.4
S/N(c) 0.0 0.0 0.0
SN(E/C) 0.73

IPAIRNAMESHIFTNEWSHIFTS/N NAMESHIFTNEWSHIFTS/N
0 11090040 0.482547 0.00000 19.0640 11090042 -0.000338202 0.482885 19.0526
1 11090043 0.480584 0.00196299 19.0894 11090045 0.000683565 0.481863 19.1068
2 11090044 0.481363 0.00118399 19.0715 11090041 -0.000408667 0.482956 19.0586
3 11090039 0.481224 0.00132298 19.0321 11090038 0.00000 0.482547 19.0259