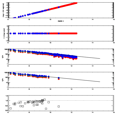
Left plots: red are targets, blue are telluric. Observed mags are calculated from median value of green chip. Zeropoint gives overall throughput: bigger number is more throughput.
First spatial plots: circles are objects, squares are tellurics, crosses are sky fibers. Colors give deviation of observed mag from expected 2MASS mag using the median zeropoint; red is brighter
Second spatial plots: circles are sky fibers. Colors give sky line brightness relative to plate median sky line brightness
FrameNreadsZeropointsMag plots Spatial mag deviation Spatial sky 16325A emission deviations (filled: sky, open: star) Spatial sky continuum emission Spatial sky telluric CO2 absorption deviations (filled: H < 10)
0 0
RedGreenBlue
z17.64
znorm Inf
sky -Inf -Inf -Inf
S/N 20.7 34.7 34.1
S/N(c) 0.0 0.0 0.0
SN(E/C) 0.83

IPAIRNAMESHIFTNEWSHIFTS/N NAMESHIFTNEWSHIFTS/N
0 10900017 0.747044 0.00000 18.5958 10900018 0.253716 0.493328 18.6064
1 10900013 0.507731 0.239313 18.5891 10900011 0.00000 0.747044 18.5662
2 10900012 0.507366 0.239678 18.5861 10900014 0.233020 0.514024 18.5292
3 10900016 0.745832 0.00121200 18.5087 10900015 0.233609 0.513435 18.4118