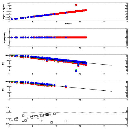
Left plots: red are targets, blue are telluric. Observed mags are calculated from median value of green chip. Zeropoint gives overall throughput: bigger number is more throughput.
First spatial plots: circles are objects, squares are tellurics, crosses are sky fibers. Colors give deviation of observed mag from expected 2MASS mag using the median zeropoint; red is brighter
Second spatial plots: circles are sky fibers. Colors give sky line brightness relative to plate median sky line brightness
FrameNreadsZeropointsMag plots Spatial mag deviation Spatial sky 16325A emission deviations (filled: sky, open: star) Spatial sky continuum emission Spatial sky telluric CO2 absorption deviations (filled: H < 10)
0 0
RedGreenBlue
z17.64
znorm Inf
sky -Inf -Inf -Inf
S/N 32.6 53.8 53.2
S/N(c) 0.0 0.0 0.0
SN(E/C) 0.68

IPAIRNAMESHIFTNEWSHIFTS/N NAMESHIFTNEWSHIFTS/N
0 10920033 0.517194 0.00000 19.0529 10920031 -0.00248824 0.519682 19.0512
1 10920030 0.514419 0.00277495 19.0746 10920028 -0.00302987 0.520224 19.1061
2 10920029 0.513702 0.00349200 19.0585 10920027 -0.00311256 0.520307 19.0631
3 10920026 0.515768 0.00142598 19.0246 10920032 -0.00166394 0.518858 18.9345
4 10920025 0.516362 0.000831962 19.0050 10920024 0.00000 0.517194 18.9067