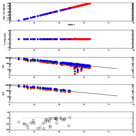
Left plots: red are targets, blue are telluric. Observed mags are calculated from median value of green chip. Zeropoint gives overall throughput: bigger number is more throughput.
First spatial plots: circles are objects, squares are tellurics, crosses are sky fibers. Colors give deviation of observed mag from expected 2MASS mag using the median zeropoint; red is brighter
Second spatial plots: circles are sky fibers. Colors give sky line brightness relative to plate median sky line brightness
FrameNreadsZeropointsMag plots Spatial mag deviation Spatial sky 16325A emission deviations (filled: sky, open: star) Spatial sky continuum emission Spatial sky telluric CO2 absorption deviations (filled: H < 10)
0 0
RedGreenBlue
z17.64
znorm Inf
sky -Inf -Inf -Inf
S/N 27.4 44.8 45.5
S/N(c) 0.0 0.0 0.0
SN(E/C) 0.71

IPAIRNAMESHIFTNEWSHIFTS/N NAMESHIFTNEWSHIFTS/N
0 10250089 0.494217 0.00000 19.0827 10250090 0.00171263 0.492504 19.0888
1 10250088 0.493688 0.000529021 19.0098 10250083 0.00000 0.494217 19.0178
2 10250084 0.491963 0.00225401 18.9932 10250086 0.00182633 0.492391 18.9695
3 10250085 0.492234 0.00198302 18.9253 10250087 0.00192877 0.492288 18.9235