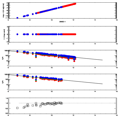
Left plots: red are targets, blue are telluric. Observed mags are calculated from median value of green chip. Zeropoint gives overall throughput: bigger number is more throughput.
First spatial plots: circles are objects, squares are tellurics, crosses are sky fibers. Colors give deviation of observed mag from expected 2MASS mag using the median zeropoint; red is brighter
Second spatial plots: circles are sky fibers. Colors give sky line brightness relative to plate median sky line brightness
FrameNreadsZeropointsMag plots Spatial mag deviation Spatial sky 16325A emission deviations (filled: sky, open: star) Spatial sky continuum emission Spatial sky telluric CO2 absorption deviations (filled: H < 10)
0 0
RedGreenBlue
z17.64
znorm Inf
sky -Inf -Inf -Inf
S/N 26.9 46.4 49.5
S/N(c) 0.0 0.0 0.0
SN(E/C) 0.94

IPAIRNAMESHIFTNEWSHIFTS/N NAMESHIFTNEWSHIFTS/N
0 11070043 0.482718 0.00000 19.1196 11070037 0.00000 0.482718 19.0210
1 11070042 0.481635 0.00108299 19.1320 11070044 -0.00140252 0.484121 19.1599
2 11070039 0.481188 0.00152999 19.0876 11070040 -0.00190364 0.484622 18.9706
3 11070038 0.480276 0.00244200 18.9665 11070041 -0.000469269 0.483187 18.8474