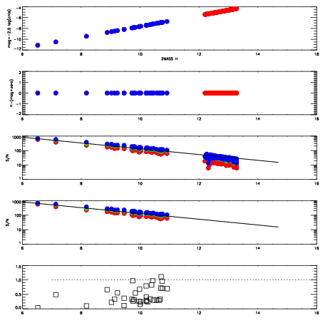
Left plots: red are targets, blue are telluric. Observed mags are calculated from median value of green chip. Zeropoint gives overall throughput: bigger number is more throughput.
First spatial plots: circles are objects, squares are tellurics, crosses are sky fibers. Colors give deviation of observed mag from expected 2MASS mag using the median zeropoint; red is brighter
Second spatial plots: circles are sky fibers. Colors give sky line brightness relative to plate median sky line brightness
FrameNreadsZeropointsMag plots Spatial mag deviation Spatial sky 16325A emission deviations (filled: sky, open: star) Spatial sky continuum emission Spatial sky telluric CO2 absorption deviations (filled: H < 10)
0 0
RedGreenBlue
z17.63
znorm Inf
sky -Inf -NaN -NaN
S/N 35.5 56.3 61.5
S/N(c) 0.0 0.0 0.0
SN(E/C) 0.33

IPAIRNAMESHIFTNEWSHIFTS/N NAMESHIFTNEWSHIFTS/N
0 11150054 0.482790 0.00000 19.0246 11150051 -0.000282150 0.483072 18.9972
1 11150053 0.481905 0.000884980 18.9629 11150052 3.93484e-05 0.482751 18.9854
2 11150050 0.481673 0.00111699 18.8852 11150055 0.00151296 0.481277 18.9254
3 11150049 0.480507 0.00228301 18.7370 11150056 0.00122039 0.481570 18.8827
4 11150057 0.482711 7.90060e-05 18.6028 11150048 0.00000 0.482790 18.7830