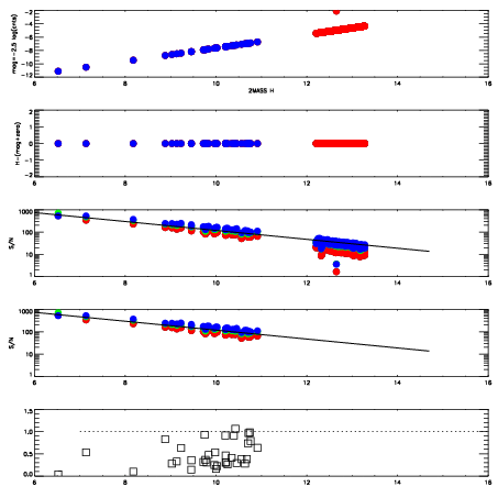
Left plots: red are targets, blue are telluric. Observed mags are calculated from median value of green chip. Zeropoint gives overall throughput: bigger number is more throughput.
First spatial plots: circles are objects, squares are tellurics, crosses are sky fibers. Colors give deviation of observed mag from expected 2MASS mag using the median zeropoint; red is brighter
Second spatial plots: circles are sky fibers. Colors give sky line brightness relative to plate median sky line brightness
FrameNreadsZeropointsMag plots Spatial mag deviation Spatial sky 16325A emission deviations (filled: sky, open: star) Spatial sky continuum emission Spatial sky telluric CO2 absorption deviations (filled: H < 10)
0 0
RedGreenBlue
z17.64
znorm Inf
sky -Inf -Inf -Inf
S/N 33.6 51.7 55.4
S/N(c) 0.0 0.0 0.0
SN(E/C) 0.38

IPAIRNAMESHIFTNEWSHIFTS/N NAMESHIFTNEWSHIFTS/N
0 12000017 0.502526 0.00000 18.9250 12000018 -0.000255256 0.502781 18.8896
1 12000016 0.501949 0.000576973 19.0861 12000015 -0.00214837 0.504674 18.9591
2 12000012 0.502038 0.000487983 18.9875 12000011 0.00000 0.502526 18.9430
3 12000013 0.502177 0.000348985 18.9717 12000014 -0.00251292 0.505039 18.9081