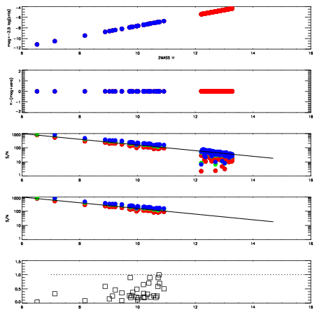
Left plots: red are targets, blue are telluric. Observed mags are calculated from median value of green chip. Zeropoint gives overall throughput: bigger number is more throughput.
First spatial plots: circles are objects, squares are tellurics, crosses are sky fibers. Colors give deviation of observed mag from expected 2MASS mag using the median zeropoint; red is brighter
Second spatial plots: circles are sky fibers. Colors give sky line brightness relative to plate median sky line brightness
FrameNreadsZeropointsMag plots Spatial mag deviation Spatial sky 16325A emission deviations (filled: sky, open: star) Spatial sky continuum emission Spatial sky telluric CO2 absorption deviations (filled: H < 10)
0 0
RedGreenBlue
z17.64
znorm Inf
sky -Inf -Inf -Inf
S/N 50.6 78.3 86.8
S/N(c) 0.0 0.0 0.0
SN(E/C) 0.27

IPAIRNAMESHIFTNEWSHIFTS/N NAMESHIFTNEWSHIFTS/N
0 11650024 0.494376 0.00000 19.0564 11650029 -0.00218652 0.496563 19.0469
1 11650035 0.493796 0.000580013 19.1427 11650034 -0.00130057 0.495677 19.1615
2 11650032 0.493384 0.000992000 19.1341 11650033 -0.00129734 0.495673 19.1521
3 11650031 0.493538 0.000838012 19.0841 11650030 -0.00181260 0.496189 19.1400
4 11650023 0.494271 0.000104994 19.0689 11650022 0.00000 0.494376 19.0713
5 11650028 0.493392 0.000984013 19.0658 11650025 -0.00119644 0.495572 19.0586
6 11650027 0.493358 0.00101802 18.9209 11650026 -0.000796111 0.495172 18.7805