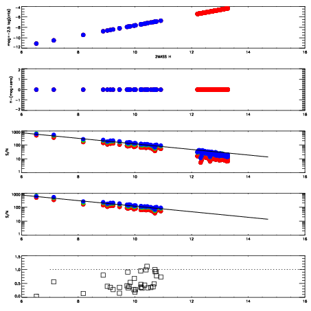
Left plots: red are targets, blue are telluric. Observed mags are calculated from median value of green chip. Zeropoint gives overall throughput: bigger number is more throughput.
First spatial plots: circles are objects, squares are tellurics, crosses are sky fibers. Colors give deviation of observed mag from expected 2MASS mag using the median zeropoint; red is brighter
Second spatial plots: circles are sky fibers. Colors give sky line brightness relative to plate median sky line brightness
FrameNreadsZeropointsMag plots Spatial mag deviation Spatial sky 16325A emission deviations (filled: sky, open: star) Spatial sky continuum emission Spatial sky telluric CO2 absorption deviations (filled: H < 10)
0 0
RedGreenBlue
z17.64
znorm Inf
sky -Inf -Inf -NaN
S/N 30.0 47.5 52.6
S/N(c) 0.0 0.0 0.0
SN(E/C) 0.40

IPAIRNAMESHIFTNEWSHIFTS/N NAMESHIFTNEWSHIFTS/N
0 11990024 0.502617 0.00000 18.8839 11990025 -0.00507860 0.507696 18.8256
1 11990023 0.502259 0.000357985 18.9268 11990022 0.00000 0.502617 18.9196
2 11990027 0.500539 0.00207800 18.4362 11990026 -0.00481430 0.507431 18.7325
3 11990028 0.500841 0.00177598 18.0420 11990029 -0.00735179 0.509969 18.3619