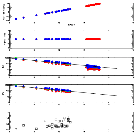
Left plots: red are targets, blue are telluric. Observed mags are calculated from median value of green chip. Zeropoint gives overall throughput: bigger number is more throughput.
First spatial plots: circles are objects, squares are tellurics, crosses are sky fibers. Colors give deviation of observed mag from expected 2MASS mag using the median zeropoint; red is brighter
Second spatial plots: circles are sky fibers. Colors give sky line brightness relative to plate median sky line brightness
FrameNreadsZeropointsMag plots Spatial mag deviation Spatial sky 16325A emission deviations (filled: sky, open: star) Spatial sky continuum emission Spatial sky telluric CO2 absorption deviations (filled: H < 10)
0 0
RedGreenBlue
z17.64
znorm Inf
sky -Inf -Inf -Inf
S/N 33.0 51.9 57.3
S/N(c) 0.0 0.0 0.0
SN(E/C) 0.36

IPAIRNAMESHIFTNEWSHIFTS/N NAMESHIFTNEWSHIFTS/N
0 12250017 0.493075 0.00000 18.9168 12250011 0.00000 0.493075 18.9082
1 12250013 0.492430 0.000645012 19.0168 12250014 -7.85338e-07 0.493076 18.9915
2 12250012 0.492224 0.000851005 18.9394 12250015 1.30846e-05 0.493062 18.9237
3 12250016 0.492429 0.000646025 18.8868 12250018 0.00159707 0.491478 18.8464