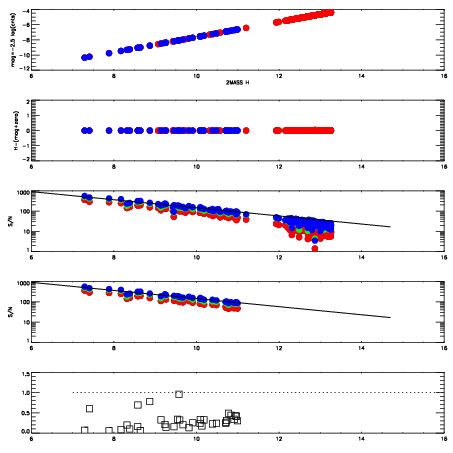
Left plots: red are targets, blue are telluric. Observed mags are calculated from median value of green chip. Zeropoint gives overall throughput: bigger number is more throughput.
First spatial plots: circles are objects, squares are tellurics, crosses are sky fibers. Colors give deviation of observed mag from expected 2MASS mag using the median zeropoint; red is brighter
Second spatial plots: circles are sky fibers. Colors give sky line brightness relative to plate median sky line brightness
FrameNreadsZeropointsMag plots Spatial mag deviation Spatial sky 16325A emission deviations (filled: sky, open: star) Spatial sky continuum emission Spatial sky telluric CO2 absorption deviations (filled: H < 10)
0 0
RedGreenBlue
z17.64
znorm Inf
sky -Inf -NaN -Inf
S/N 21.8 41.8 42.6
S/N(c) 17.7 42.3 10.4
SN(E/C) 0.25

IPAIRNAMESHIFTNEWSHIFTS/N NAMESHIFTNEWSHIFTS/N
0 11110091 0.486092 0.00000 18.1697 11110089 -0.000414021 0.486506 18.1614
1 11110086 0.481312 0.00477999 18.6446 11110084 -0.00142927 0.487521 18.4881
2 11110082 0.480565 0.00552699 18.6004 11110085 -0.00160159 0.487694 18.4854
3 11110083 0.480728 0.00536400 18.5118 11110081 0.00000 0.486092 18.4253
4 11110087 0.482767 0.00332502 18.2971 11110088 -0.000430718 0.486523 18.4185
5 11110090 0.485198 0.000894010 18.2274 11110092 0.00100367 0.485088 18.3480