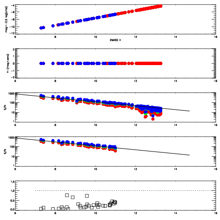
Left plots: red are targets, blue are telluric. Observed mags are calculated from median value of green chip. Zeropoint gives overall throughput: bigger number is more throughput.
First spatial plots: circles are objects, squares are tellurics, crosses are sky fibers. Colors give deviation of observed mag from expected 2MASS mag using the median zeropoint; red is brighter
Second spatial plots: circles are sky fibers. Colors give sky line brightness relative to plate median sky line brightness
FrameNreadsZeropointsMag plots Spatial mag deviation Spatial sky 16325A emission deviations (filled: sky, open: star) Spatial sky continuum emission Spatial sky telluric CO2 absorption deviations (filled: H < 10)
0 0
RedGreenBlue
z17.64
znorm Inf
sky -Inf -Inf -Inf
S/N 23.8 38.2 41.7
S/N(c) 35.8 26.9 48.3
SN(E/C) 0.25

IPAIRNAMESHIFTNEWSHIFTS/N NAMESHIFTNEWSHIFTS/N
0 12610017 0.489997 0.00000 18.8248 12610011 0.00000 0.489997 18.8094
1 12610013 0.487500 0.00249699 18.8131 12610015 -0.00148709 0.491484 18.7939
2 12610016 0.488887 0.00110999 18.8046 12610018 0.000354145 0.489643 18.7618
3 12610012 0.486656 0.00334099 18.7384 12610014 -0.00208293 0.492080 18.7598